Full Buku Teks Sejarah Tingkatan 4 Kssm Compressed Pages 101 150 Flip Pdf Download Fliphtml5
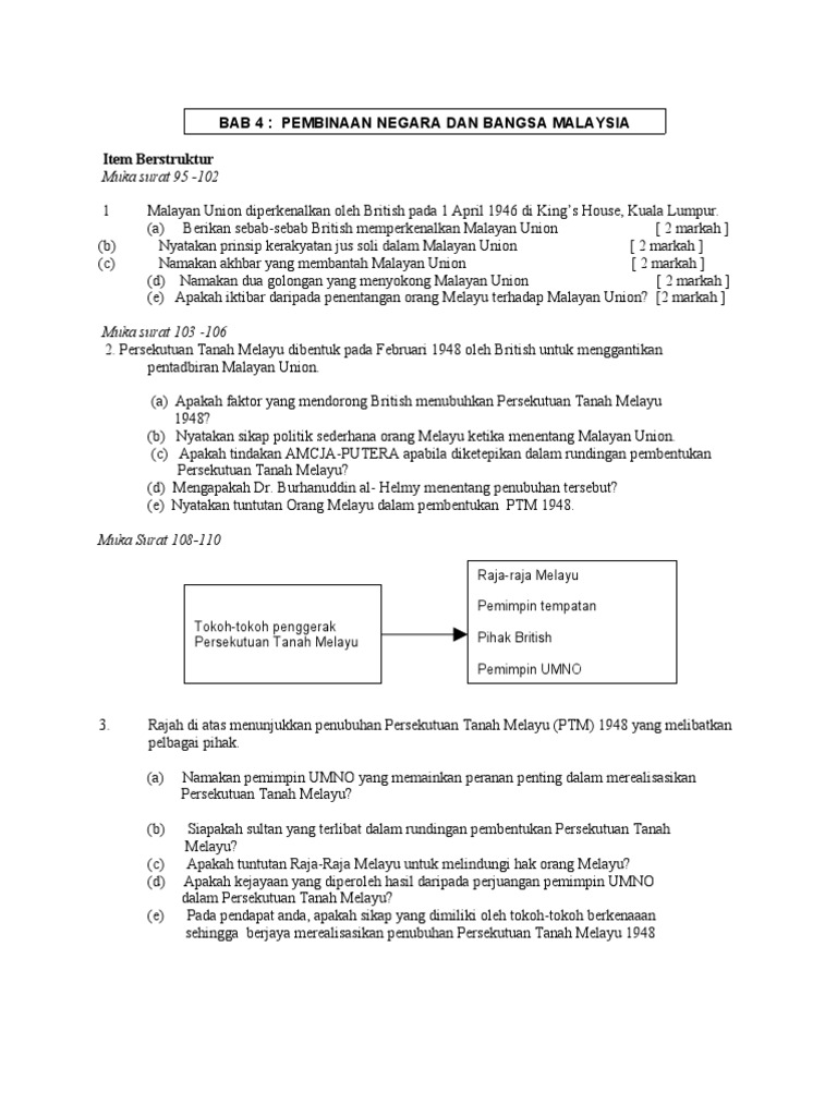
Nota Sejarah Bab 4 Pdf Sejarah Tingkatan 5 T5b4 Nota U200bbab 4 Pembinaan Negara Dan Bangsa Malaysia Bab 4 Pembinaan Negara Dan Bangsa Malaysia 4 1 Course Hero